近年来,随着多肽药物在代谢、肿瘤及抗感染等领域的突破,全球多肽药物市场持续升温。在此背景下,多肽合成工艺的效率与质量控制变得尤为关键。在多肽合成过程中,氨基是最通用的亲核试剂,其酰化反应是氨基酸偶联及肽链延伸的基本原理;然而,由于其反应活性较高,易在合成过程中发生多种非预期的副反应,从而严重影响目标产物的纯度与收率。常见的副反应包括:乙酰化、三氟乙酰化、甲酰化和烷基化等。
1. 肽链Nα-乙酰化
肽链Nα-乙酰化是固相肽合成(SPPS)中常见的一类副反应,会导致肽链组装的意外终止,形成截短的肽杂质。除了商品化氨基酸原料中残留的乙酸等可能引发乙酰化副反应外,人为添加乙酸酐进行封端也可能会意外引入杂质。
一方面,残留的乙酸酐在后续的肽链延伸过程中,与游离的Nα反应,发生乙酰化副反应,从而终止正在进行的肽链延伸。另一方面,组氨酸咪唑侧链上的保护基(如对甲苯磺酰基)若发生提前脱落,乙酸酐处理可能会使组氨酸侧链的咪唑乙酰化,生成的乙酰咪唑中间体会通过迁移反应导致Nα-乙酰化,同样会终止肽链生长。
此外,在加帽封端过程中,可能会伴随过度乙酰化副反应,导致N-乙酰乙酰胺衍生物的形成(图1)。

图1 Nα过度乙酰化反应
2. 三氟乙酰化
三氟乙酰化副反应在多肽合成中更为普遍,主要源于三氟乙酸(TFA)与氨基或羟基的反应。该反应常发生在肽段从树脂切割、侧链全脱保护以及Boc固相合成法中反复脱保护的步骤中。
如,采用 Boc固相合成法进行多肽合成时,反复用三氟乙酸进行脱Boc保护基,可能导致肽链与树脂之间的酯键过早断裂,形成三氟乙酸酯衍生物,在后续的碱性环境中,发生O→N酰基迁移,形成三氟乙酰基封端的短肽杂质(图2)。同样,在处理丝氨酸、苏氨酸等含有羟基的氨基酸残基时,也会经历上述O→N酰基迁移过程。

图2 O→N酰基迁移引发的三氟乙酰化反应
氨基甲酰化是一种常规的蛋白质修饰策略,目前,源自各种过程的氨基异常甲酰化对多肽合成产生了不良影响。甲酰化副反应主要由色氨酸侧链保护基残留、甲酸试剂引入以及DMF溶剂降解三方面因素引起。
1. 保护基残留
在Boc固相合成法中,色氨酸常使用甲酰基进行侧链保护。在含有赖氨酸的肽链中,若脱保护不完全,残留的甲酰基可能迁移至赖氨酸侧链或肽链主链氨基上。
2. 试剂引入
在多肽合成中,甲酸常用于Boc脱保护或作为液相色谱流动相添加剂。在含有色氨酸的肽序列中,使用甲酸脱除Boc保护时,会导致色氨酸侧链上的吲哚发生甲酰化反应,生成副产物(图3)。不过此过程是可逆的,可以在适当条件下再生。

图3 甲酸脱Boc引发的甲酰化副反应
此外,当甲酸用作催化剂或洗脱剂时,在特定条件下,也可能引发不必要的甲酰化副反应。
3. 溶剂降解
DMF是甲酰化的主要来源之一,也是多肽合成中常用的有机溶剂(现已被管控)之一。
一方面,DMF在高温或强酸强碱条件下可能降解产生甲酸,从而引发甲酰化副反应。
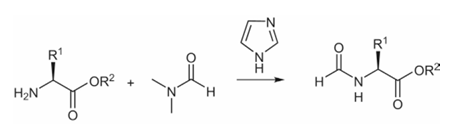
另一方面,DMF在特定条件下会直接参与反应,形成相应的甲酰胺衍生物。如:在咪唑(或CDI)存在的情况下,氨基酸及其酯可直接与DMF反应得到甲酰胺化的产物(图4)。

图4 咪唑催化DMF与氨基酸及其酯发生甲酰化反应
另外,在多肽合成试剂(如PyBroP)存在下,DMF可能通过类Vilsmeier-Haack反应机制直接导致游离氨基甲酰化,终止肽链延伸(图5)。同样,在三氯氧磷等活性酰卤试剂存在下,DMF也可能会转化成相应的亚胺鎓衍生物,促进甲酰化反应。

图5 PyBrop/DMF引发的甲酰化反应
N-烷基化是多肽合成中常见的副反应之一,一般发生于肽链的Nα以及部分氨基酸侧链的官能团上,涉及保护基降解及试剂污染等多种因素。
1. 保护基裂解引发的烷基化
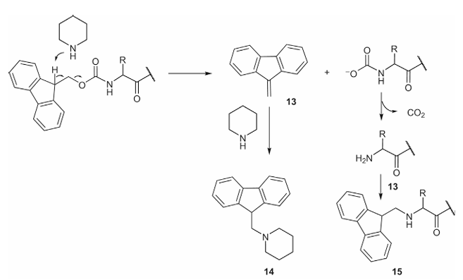
肽链中Nα-氨基甲酸酯保护基团(如Boc、Fmoc、Z、Alloc)的裂解有可能引发N-烷基化副反应。例如,在Fmoc脱保护过程中,通常用有机碱(如哌啶等)来实现,其降解副产物若未及时被碱捕获并除去,则会与游离的氨基发生反应,生成N-芴甲基化副产物(图6)。

图6 Fmoc保护基脱除过程中的副反应
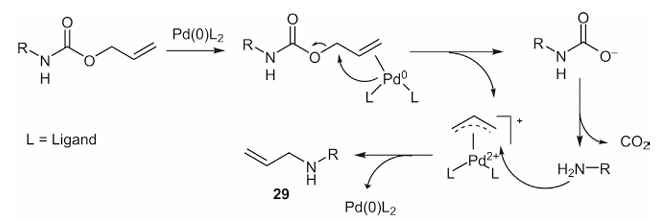
另外,烯丙氧羰基(Alloc)保护基的脱除通常采用Pd(0)催化。若反应体系中缺乏高效的烯丙基清除剂,新游离的氨基可能与中间体π-烯丙基钯络合物发生反应,生成N-烯丙基化副产物(图7)。

图7 Alloc保护基脱除过程中的烯丙基化
2. 甲醛诱导的交联与烷基化
甲醛是多肽合成中N-烷基化副反应的主要因素之一,其来源通常是在制备过程中产生或者有机溶剂残留。甲醛不仅能修饰特定的氨基酸,还能通过亚甲基桥使两个氨基酸或一个氨基酸内的两个官能团交联,使产物复杂化。需注意的是,甲醛介导的亚甲基桥交联反应需要在高pH环境下进行,一旦 pH 值降低到某个阈值以下,该过程即停止。
多肽合成是一项精细的系统工程,氨基基团的副反应贯穿于保护、偶联、切割及纯化等多个环节。深入理解这些副反应的化学原理,严格控制原料纯度,优化保护基策略及工艺参数,是提升多肽药物质量与收率的关键所在。
苏州昊帆生物股份有限公司(股票代码:301393.SZ),成立于2003年,总部位于苏州市高新区,是一家为全球医药研发及生产企业提供特色原料的国家高新技术企业。产品主要应用于多肽、核苷酸和医药合成等领域,产品范围涵盖特色酰胺键构成用缩合剂、保护剂、链接剂、抗体偶联药物用蛋白质交联剂、分子砌块、脂质体、磷试剂等种类。目前已累计研发生产各类产品达1500多种。
经过二十余年的不懈努力和积累,昊帆生物在全球多肽合成试剂领域持续深耕,现已发展成为具有广泛定制产品覆盖能力和显著规模化生产优势的领先企业,可以满足各类客户的特定需求。我们诚挚邀请对该产品感兴趣的客户与我们联系,以便进一步了解产品详情,并探讨合作机会


VIP复盘网