本周化工市场综述
基础化工行业,本周最大边际变化在于霍尔木兹海峡的开放,若持续开放,原油端的冲击将明显弱化,板块有望回归中长期向上通道;另外,本周危险化学品目录新增多个化学品,包括2-硝基-3-甲基苯甲酸、3-氯丙炔、2-碘酰基苯甲酸,建议重点关注近期有边际变化的2-硝基-3-甲基苯甲酸,该方向对应上市公司或有较高的赔率;除此之外,化工品涨价继续,本周包括轮胎、高含氢硅油、氨纶、粘胶涨价。地缘扰动方面,本周我们观察到特朗普“以打促谈”策略已初见成效,施压策略包括特朗普宣布封锁霍尔木兹海峡、美对伊启动“经济狂怒”行动,从伊朗的表态看,其倾向促和,比如:报道称伊朗考虑暂停霍尔木兹航运,为新一轮谈判争取空间,再比如:伊朗总统称愿意继续谈判。AI行业边际变化,本周进入业绩验证期,产业链的多家公司业绩表现亮眼,包括中际旭创、台积电、沪电股份、佰维存储、瑞芯微,我们认为该产业链处于加速兑现通道,建议持续重点关注。作为对比,贵州茅台上市以来首现年度营收下滑,这可能市场风格进一步强化的标志性事件。AI产品端,潜在爆款在不断推出,比如:Hermes Agent爆火、阿里腾讯各自发布3D世界模型,在此背景下,需求爆炸,算力吃紧,比如:三个月内全球Token使用量暴增250%,再比如:Claude变更企业版定价,按算力消耗计费;供需双好的背景下,AI基建的确定性也将越来越高,未来更多环节或卡脖子,近期已经看到诸多迹象,比如:美国光通信龙头Lumentum预计两个季度内将售罄2028年产能、群联CEO表示NAND缺货或持续10年、知名半导体分析机构SemiAnalysis近日称CPU正面临"极其严重的产能短缺"。投资层面,我们看到AI板块持续走强,背后原因在于当下以及未来的基本面更加确定,往后看我们继续看好科技材料投资机会;除此之外,短期看虽然周期板块或将继续受到油价波动的影响,但扰动之后板块或迎来较佳的布局时点
本周大事件
大事件一:美伊下次会谈可能本周末举行,不排除必要时延长停火,伊朗同意不拥有核武。特朗普称,已非常接近达成协议,希望停火期内达成;协议将带给美国“免费的石油和免费的霍尔木兹海峡”通行;若协议未达成,战火会重燃。他说美国已获得一份“极具分量”的声明,确保伊朗不会拥有核武器、有效期将超过20年,伊朗对此暂无回应。
大事件二:美对伊启动“经济狂怒”行动、施压达成协议,伊朗斥为经济恐怖主义,称敌人误判战局。报道称,海湾和欧洲官员估计美伊达成和平协议需约六个月,因此应延长停火。美防长称,新行动将“对伊朗施加最大化的经济压力”;若伊朗拒绝达成协议,随时准备重启作战。美军扩大对伊朗航运物资封锁范围,13艘船已被迫折返。
大事件三:需求爆炸,算力吃紧,Claude变更企业版定价,按算力消耗计费。Anthropic近期悄然调整Claude Enterprise定价,企业客户从固定订阅费改为“每用户每月20美元 按算力消耗计费”,此前最高每用户每月200美元的旧模式正式终结。据估算,新定价可能导致重度用户的使用成本翻倍甚至翻三倍。
大事件四:台积电2026年首季业绩超预期,净利润达5725亿元新台币,同比增长58%,营收为1.134万亿元新台币,同比增长35%,毛利率飙升至66.2%。受AI需求提振,HPC平台贡献逾六成营收,3nm及5nm等先进制程占比升至74%。强劲表现有效平息了地缘政治对芯片需求的担忧。
大事件五:国办:对无序竞争问题突出的产业领域,可实行暂停核准、备案等临时性调控措施。国务院办公厅日前印发《关于深化投资审批制度改革的意见》,提出优化政府投资项目审批权限;严禁违规通过国有企业等以企业投资项目核准或备案形式规避政府投资项目审批;完善项目建设标准和投资概算核定标准体系,严格项目概算约束。
风险提示
国内外需求下滑,原油价格剧烈波动,国际政策变动影响产业布局。
目录
一、本周市场回顾
二、国金大化工团队近期观点
三、本周主要化工产品价格涨跌幅及价差变化
四、本周行业重要信息汇总
五、风险提示
正文
一、本周市场回顾
本周布伦特期货结算均价为95.77美元/桶,环比下跌5.21美元/桶,或-5.16%,波动范围为90.38-99.39美元/桶。本周WTI期货结算均价92.04美元/桶,环比下跌10.8美元/桶,或-10.51%,波动范围为83.85-99.08美元/桶。
本周基础化工板块跑输指数(-1.57%),石化板块跑输指数(-5.87%)。
本周沪深300指数上涨1.99%,SW化工指数上涨0.41%。涨幅最大的三个子行业分别为膜材料(8.77%)、非金属材料Ⅲ(8.22%)、其他橡胶制品(7.25%);跌幅最大的三个子行业分别为氮肥(-5.92%)、煤化工(-5.55%)、农药(-4.08%)。






二、国金大化工团队近期观点
轮胎:节后开工回升,原料价格下跌为主
①供给端:根据同花顺显示,本周全钢胎开工率为68.1%,环比降低1.3%,同比提高2.7%;半钢胎开工率为77.2%,环比提高0.9%,同比降低1.3%。
②需求端:国内外需求持续复苏,半钢需求旺盛,全钢需求逐渐修复。海外市场考虑到欧美较高通胀的背景和轮胎具备的刚性消费属性,或将推动消费降级,国内龙头企业出海布局进程可能超预期。
③原料端:本周橡胶价格下跌为主。天然橡胶下周云南产区高温少雨,海南产区有降雨,预计国内胶水供应大幅增加,此外泰国北部产区割胶面积进一步扩大,供应预期增加,整体国内外原料外供应预期增加,成本端支撑松动。顺丁橡胶下周供应预计有增加预期,主要源于目前多数工厂已降负荷及进入停车状态,另外新增投料生产企业和计划重启企业,预计下周产量上升。丁苯橡胶方面,乳聚丁苯橡胶本周浙江维泰10万吨/年装置于4月10日降负至6成生产;李长荣5万吨/年装置于4月9日重启,现4成运行。除此之外,其余装置距上周变化不大,整体开工率较上周或将有所下降,预计在69.49%左右,产量或将在20257吨附近,供需矛盾有所缓解。溶聚丁苯橡胶本周浙江石化6万吨/年装置于4月12日重启,除此之外,其余厂家装置均运行平稳。
④景气度跟踪:行业底部企稳,成本端虽然原料价格抬升带来压力,但企业已经开始通过发涨价函逐渐传导;政策端欧盟反倾销背景下海外产能的稀缺性仍然存在,若后续供需紧张仍能实现涨价,且头部胎企可通过海外产能持续提升市占率。
浙江龙盛:交投氛围冷清,染料市场暂稳整理
本周分散染料市场平稳运行,分散黑ECT300%市场均价在23元/公斤,较上周同期均价持平。活性染料市场窄幅整理,活性黑WNN150%市场均价在32元/公斤左右,较上周同期均价持平。染料中间体市场偏强整理,成本端对市场支撑力度较好。主流企业对外报价保持不变。终端纺织市场承接力不足,需求疲软态势延续。下游印染厂操作谨慎,普遍持单观望,导致市场整体新单成交量难以有效释放。染料市场价格保持稳定。下游需求来看,本周浙江地区印染企业平均开机率51.50%,较上周持平;盛泽地区印染样本开机率为52.96%,较上周持平;江浙地区综合开机率为52.24%,较上周持平。当前织造开机率走弱,内外贸新单下达量均不及预期,加剧了市场的谨慎偏空心态。持续高位的染料成本未能有效传导,进一步挤压染厂利润空间。
胜华新材:需求难寻,碳酸二甲酯价格向下运行
本周碳酸二甲酯市场价格向下运行,市场指导价格为3910元/吨,较上周价格同期价格下跌190元/吨,跌幅4.63%。山东主流成交价为3800元/吨(承兑出厂),华东市场主流成交价为4000元/吨(承兑出厂),华南市场主流成交价为4300元/吨(承兑送到)。供应方面,本周维尔斯、山东飞扬、湖南中创、中科惠安、重庆东能、东营顺新、云化绿装置延续停车,华鲁恒升减负运行,山东海科、胜华新材东营基地装置运行,临涣焦化装置停车,湖北三宁降负运行,福建百宏装置停车,内蒙双欣装置重启运行,湖北源晗装置停车,综合来看,整体开工率较上周有所提高。需求方面,主力需求为非光气法聚碳酸酯、电解液溶剂以及以华南、华东为主的胶黏剂及涂料等传统溶剂行业,其中传统行业对碳酸二甲酯指标要求相对宽松,煤质乙二醇副产碳酸二甲酯进行提纯后多可满足其指标要求。目前进场积极性一般,双方谈判僵持,场内成单有限。
钛白粉:硫酸紧缺倒逼企业减产,钛白粉市场高位坚挺运行
景气度跟踪:钛白粉行业景气度底部企稳。
截至本周四,硫酸法金红石型钛白粉市场主流报价为15200-16600元/吨,市场均价为16053元/吨,环比上升4.9%。本周市场核心特征表现为“成本支撑、企业减产、成交清淡、预期看涨”。受硫酸紧缺及价格高企影响,部分企业已开始减产,山东地区开工率有所降低,少数企业甚至开始计划后期检修。龙头企业本周再度发布涨价函,国内上调1500元/吨,部分企业陆续跟涨,另有一部分企业持观望状态。由于涨价过快,加之此前下游备货已覆盖至4、5月份,市场签单和询问单都很稀少。但前期涨价价格正在逐步落地,价格重心稳步上移,形成一定的利好情绪。
新和成:维生素市场供需观望,行情小幅震荡盘整运行
本周维生素景气度底部企稳。
本周维生素A需求疲软,行情小幅震荡。4月14日,浙江医药即日起国内饲料级维生素A对外停签停报,其他主流厂家本周基本维持停报状态,对后市多持挺价态度。贸易渠道需求持续较清淡,本后一线品牌货源主流接单报价在106-108元/公斤附近,但此价格新单成交一般,部分实单有小幅可商谈空间,二线品牌货源货或部分老日期货源参考接单报价在98-104元/公斤附近。
本周维生素E市场交投清淡,行情小幅震荡略偏弱。4月14日,浙江医药即日起国内饲料级维生素E对外停签停报,其他主流厂家本周无明确报价。本周贸易渠道一线品牌货源主流接单报价在102-105元/公斤附近,但需求不佳,此价格新单成交一般,部分实单有小幅可商谈空间,据悉个别实单低位价格在100元/公斤,部分二线品牌货源价格略低。
神马股份:成本松动需求低迷,PA66市场高位回落
PA66周度市场均价为22295.75元/吨,较上周市场均价下跌392.92元/吨,跌幅1.73%。周内市场由高位僵持逐步转向弱势下跌,主要受原料己二酸持续走弱、下游抵触情绪加重以及持货商出货意愿增强等因素共同影响。周初市场主稳运行,随后在成本松动与需求疲软的双重压制下,价格连续小幅下跌,临近周末进入弱势横盘整理阶段。
聚氨酯:聚合MDI价格下调;纯MDI小幅回落;TDI出货承压
本周国内聚合MDI市场重心下移。截止2026年4月16日,国内聚合MDI市场均价19000元/吨,较上周同期价格下跌8.21%。
本周国内纯MDI市场小幅回落,当前国内纯MDI市场均价为25000元/吨,价格较上周同期价格下跌1.96%。
本周国内TDI市场弱势阴跌。截止2026年4月16日国内TDI市场均价为19000元/吨,较上周下调6.29%。
聚合MDI:获利盘积极出货,聚合MDI市场重心下移
①市场综述:本周国内聚合MDI市场重心下移。截止2026年4月16日,国内聚合MDI市场均价19000元/吨,较上周同期价格下跌8.21%。供方仍存挺价心态,经销商低出心态较为谨慎。但整体需求持续偏弱,叠加原料价格处于下行阶段,下游工厂入市采购积极性欠佳,多谨慎观望情绪为主,场内询盘买气冷清,仅部分刚需逢低买进,贸易商出货乏力下,部分商谈让利促单现象增多,从而带动市场主流价格下移。当前PM200商谈价19000-20000元/吨附近,上海货商谈价18500-19200元/吨附近,进口货18300-18800元/吨附近,具体可谈(含税桶装自价)。
②后市预测:部分工厂即将进入检修期,供方挺价心态下,贸易商低价意愿不强,对外报盘维持高位;但终端需求依旧偏弱运行,对当前高价采购情绪低迷,场内询盘买气冷清,部分客户出货意愿增加,市场个别低价报盘尚存。预计短期聚合MDI市场价格小幅震荡,价格波动幅度在100-500元/吨。
纯MDI:下游采购情绪较弱,纯MDI市场小幅回落
①市场综述:本周国内纯MDI市场小幅回落,当前国内纯MDI市场均价为25000元/吨,价格较上周同期价格下跌1.96%。供方消息面暂无利好指引,工厂货源填充仍较充裕,而受终端需求端偏弱影响,下游企业出货压力尚存,新单跟进难有增量,因而对原料消耗能力仍较有限,场内交投气氛暂无起色,实单跟进稀少,利好消息匮乏下,部分业者仍保持出货节奏,市场商谈重心小幅下探。当前上海货源参考价25000-25200元/吨,进口货源参考价24200-24800元/吨,国产货参考价25000-25200元/吨附近。
②后市预测:供方工厂暂无明确指导消息,场内货源填充仍较充裕,市场观望情绪仍较浓厚;而受终端需求拖拽下,下游企业新单增量困难,整体负荷难有提升预期,因而对原料消耗能力有限,场内交投买气偏弱,多刚需小单入市,整体需求端难有支撑下,部分业者仍保持出货节奏。预计下周纯MDI市场窄幅波动,价格波动幅度100-500元/吨。
TDI:部分客户让利甩货,TDI市场弱势阴跌
①市场综述:本周国内TDI市场弱势阴跌。截止2026年4月16日国内TDI市场均价为19000元/吨,较上周下调6.29%。北方某工厂中旬一口价上调至21000元/吨,河北某工厂4月上旬结算价至19700元/吨,上海某工厂4月中旬按原计划6.5折供应,供方持续释放利好提振市场,经销商基于成本考量,对外低出较为谨慎,部分维持高位报盘。尽管海外供给依旧偏紧、出口利好尚存;但国内下游企业成本继续承压,因而对当前高价原料抵触情绪浓厚,场内询盘买气持续冷清,成交仍以小单刚需跟进为主,出货承压下,部分客户让利抛货现象增加,市场低价频现,从而拖拽主流成交重心下移。截至2026年4月16日:目前TDI国产含税执行18500-19000元/吨左右,上海货源含税执行19000-19500元/吨附近。
②后市预测:海外装置恢复进度缓慢,全球供应缺口仍存,但随着美金价格回调,需求采购回归刚需支撑,整体采购节奏放缓,出口量难现爆发式增长。国内下游受高价原料成本制约,入市买盘情绪低迷,场内成交放量有限下,部分客户让利出货意愿不减,市场价格仍存下调预期。不过随着价格的接连下跌,下游工厂基于原料库存处于较低水平,部分客户存补货预期,场内询盘买气回升下,届时市场价格将触底反弹。预计下周TDI市场呈震荡走势,价格波动区间300-1000元/吨。后续需盯紧工厂政策及需求实质跟进。
纯碱:下游玻璃领域放水产线增加,纯碱现货价格表现疲软
本周国内纯碱现货市场价格涨跌互现。截止到目前,当前轻质纯碱市场均价为1135元/吨,较上周同期价格下跌0.61%;重质纯碱市场均价为1261元/吨,较上周同期价格持平。周内纯碱现货市场价格区域走势不一,内贸方面行业整体新单表现一般,碱厂报盘多存一定商谈空间,灵活接单为主,外贸方面受到国际外部环境影响,近期行业整体出口有所放量。本周国内纯碱行业成本价格上涨,纯碱厂家的综合成本约在1164元/吨,较上周环比上涨1.41%;纯碱行业毛利润有所下降,平均亏损约在10元/吨。本周纯碱原料动力煤、原盐价格变动不大,合成氨价格大幅上涨,纯碱原料综合成本上涨,而纯碱现货价格难有起色,行业盈利情况转弱。
农药:菊酯类农药市场上涨延续;烯草酮市场价格盘整;草甘膦市场价格看涨
中农立华原药2026年4月12日市场行情显示,受国际地缘局势扰动、全球能源及化工供应链偏紧、原油及关键中间体成本上行、产业链成本传导顺畅及内外贸需求同步回暖、春耕应季刚需集中释放影响,国内农药原药市场整体普涨上行、供需共振走强,行业呈现成交活跃度明显提升、前期低价货源逐步出清、供给端偏紧的运行态势,菊酯类产品报价维持高位,烯草酮随成本上涨报价上调,草甘膦原药高位盘整,具体如下:高效氯氟氰菊酯原药成本上涨、市场价格上行,报价13.8万元/ 吨,厂家接单谨慎;联苯菊酯原药受中间体涨价过高影响,报价15.8万元/吨;高效氯氰菊酯母药报价4万元/吨;氯氰菊酯原药报价9万元/吨;烯草酮原药受原材料快速上涨、询单活跃带动,报价上调至8.5万元/吨;2026年2月18日特朗普签署援引《国防生产法》的行政命令,将元素磷和草甘膦类除草剂列为国防关键物资,加速全球磷资源战略博弈,受此影响草甘膦原药市场高位盘整,工厂谨慎出货,95% 含量报3.5万元/吨,97% 含量报3.55万元/吨。
菊酯类农药
高效氯氟氰菊酯
本周高效氯氟氰菊酯行情良好,价格高位持稳。截止到本周四,96%高效氯氟氰菊酯市场成交参考至13.5万元/吨,较上周四价格稳定。从市场反馈看,有如下几点值得关注:供应方面:国内主流厂家装置正常运行,完成前期订单为主,现货供应偏紧;需求方面:需求端整体表现平稳,询单氛围尚可,下游按需采购为主;成本方面:上游原料价格高位震荡,整体利好支撑仍存。后市预测:据市场反馈,中间体及基础原材料价格高位运行,成本端支撑坚挺,且市场供应偏紧,预计高效氯氟氰菊酯后市价格仍有上涨的可能。
联苯菊酯
本周原料端支撑坚挺,联苯菊酯价格偏强盘整。截止到本周四,98%联苯菊酯市场成交参考至15.1万元/吨,较上周四价格稳定。从市场反馈看,有如下几点值得关注:供应方面:场内多数工厂开工正常,工厂排单,主发前期订单为主,供应面紧张;需求方面:下游市场行情平稳,按需采购为主;成本方面:上游功夫酸价格坚挺,基础化工原料价格高位偏强,成本端支撑较强。后市预测:从市场反馈看,市场供应面稍显紧张,成本端利好支撑仍存,预计下周联苯菊酯市场价格仍延续涨势。
氯氰菊酯
本周成本端偏强运行,氯氰菊酯价格上涨。截止到本周四,氯氰菊酯成交参考至9-9.5万元/吨,较上周四价格上涨0.95万元/吨,涨幅11.45%。从市场反馈来看,主要有以下几点值得关注:供应方面:企业开工情况维持前期稳定,排单交付前期订单为主,市场现货库存有限,供应较为紧张;需求方面:需求面维稳,下游按需询单采购,市场新单成交氛围稳好;成本方面:上游中间体醚醛价格宽幅上涨,成本面利好支撑偏强。后市预测:综合看,成本端支撑持续偏强,下游询单采购气氛尚可,预计氯氰菊酯下周价格或将有上涨的可能。
烯草酮
本周成本支撑稳好,烯草酮价格盘整。截止到本周四,烯草酮部分企业折百报价8.5万元/吨,市场主流成交参考价8.5万元/吨,较上周四价格盘整。市场分析如下:供应方面:本周场内企业维持正常开工,市场整体供应表现良好;需求方面:本周烯草酮正值需求旺季,下游询单采购提升,内销淡稳,出口订单下发良好。成本方面:近期上游化工原料整体价格偏强运行,烯草酮成本端支撑良好。后市预测:预计下周烯草酮市场价格或将维持盘整,不排除价格延续上涨可能。
草甘膦
本周草甘膦市场偏强运行,价格上涨。95%草甘膦原粉市场均价为34294元/吨,较上周四价格上涨1000元/吨,涨幅3%。截止至2026年4月16日,草甘膦供应商谨慎报价,95%原粉主流成交参考3.42-3.45万元/吨,港口FOB 5100-5120美元/吨;97%原粉主流成交参考3.55万元/吨,港口FOB 5250-5270美元/吨。制剂市场价格参考如下:200升装41%草甘膦水剂上海港提货价17000元/千升,港口FOB2300-2320美元/千升;200升装62%草甘膦水剂上海港提货价21600元/吨,港口FOB2930-2950美元/吨,75.7%草甘膦颗粒剂上海港提货价30400元/吨,实单商议。从市场看,有如下几个方面:第一,从供应端看,华东部分企业装置开工不满,其余主流工厂维持正常运行,市场供应正常。第二,从需求端看,需求表现稳定,下游询单情况良好,南美等海外订单持续释放,部分贸易商货源在场内流通,供应端排单充足,主交前期订单。第三,从成本端看,上游原料黄磷、液氯价格较上周上涨,甘氨酸价格盘整,草甘膦生产成本较上周小幅增加。后市预测:预计下周草甘膦价格或将保持盘整,不排除窄幅上涨的可能性。从市场看,有如下几个方面:第一,据悉供应端挺价态度较为坚挺,大多工厂库存低位,且仍有前期订单尚未执行,短期内销售压力不大。第二,需求支撑稳定,下游制剂商仍有未交付订单,对草甘膦原粉存在一定刚需,美洲等海外市场需求尚可,订单陆续释放。第三,近期草甘膦价格宽幅走高,部分采购商对高价接受困难,采购谨慎。
三氯蔗糖:三氯蔗糖走货不畅 价格大体维稳
①市场综述:本周三氯蔗糖市场稳中窄幅整理,厂商方面暂未有新的调价操作,上游原料价格出现回落,企业利润稍有修复,但整体表现仍不乐观。贸易商前期补库充足,面临出货偏缓的情况,不乏有让利成交的操作存在,目前场内成交价格在9.5-9.8万元/吨。综合来看,三氯蔗糖在成本压力及需求疲软的困境下区间震荡运行。
②后市预测:三氯蔗糖市场短期内难以出现大幅调整,上游原料走势还不十分明朗,但三氯蔗糖企业修复利润的需求持续存在,后市部分有继续提价的意愿,具体需要参考需求端配合,预计下周三氯蔗糖观望为主,价格大致有0.1-0.2万元/吨的波动。
安赛蜜:安赛蜜厂商高位整理 中间商提价滞后
①市场综述:本周安赛蜜市场相对坚挺,场内价格稍显混乱,厂商报价横稳在5万元/吨,贸易商前期低价备了大量库存,价格虽有上行,但与厂商还存在差距,目前成交价格在4.2-4.5万元/吨,部分略高。周内原料止涨回落,安赛蜜生产企业利润率好转,且有继续上探的想法。下游买盘采购情绪有所降温,多数消化库存为主。
②后市预测:目前价格下安赛蜜有一定的盈利空间,需求疲软市场继续上探遇阻,短线来看,供需面利好引导寥寥,安赛蜜场内价格区间小幅整理。不过政治局势震荡,原料走向不明朗,长线走势还需观望成本端引导。
麦芽酚:麦芽酚厂商挺价 中间商存让利操作
价坚挺,甲基麦芽酚价格在10万元/吨,乙基麦芽酚在8.3万元/吨左右。贸易商多库存承压,高价成交不畅,部分让利促成交,乙基麦芽酚实单成交低价在7.6-7.8万元/吨。终端需求表现持续平淡,缺乏大规模集中备货计划。
②后市预测:成本带动下下麦芽酚厂商存有追高的心态,但受到货源流通不畅以及中间商低价出货的困扰,价格继续拉涨存在阻力。预计短线麦芽酚持续消化库存为主,价格窄幅震荡,波动幅度在0.1-0.2万元/吨之间。
煤化工:煤炭价格暂稳运行,煤头化工产品的价差明显放大
周内产地内多数煤矿维持正常生产,动力煤产量平稳释放,多以确保长协煤发运为主,市场供应量相对充足,供应端利好支撑一般。周内下游化工等非电方面采购需求略有释放,买货积极性提高,煤矿出货较为顺畅,站台及贸易商拉运积极,叠加大集团外购价格小涨提振市场情绪,煤矿报价小幅上行,但下游对高价接受度有限,采购节奏有所放缓,整体市场需求提升有限,市场观望情绪渐起,煤矿出货效果一般,煤价上涨幅度受限;
甲醇价格小幅上行,近期外轮抵港量较少,港口库存持续去库,进而支撑现货基差坚挺运行,区内用户按需采购为主;内地市场表现尚可,内地资源近期可顺流至沿海一带,工厂库存被顺利消化,目前整体工厂库存压力不大,进而支撑企业挺价心理,目前部分企业竞拍小幅溢价成交为主,下游用户对高价抵触,采购多以刚需为主;
合成氨市场继续偏强运行,北方及华东地区持续推涨,山东地区检修装置集中,且存部分新增检修,区域缺货明显,带动省内及周边价格持续拉涨,华东地区受前期检修尚未恢复及集港需求支撑,持续积极拉涨。两湖地区相对僵持,个别降库出货,下游需求有所转弱,支撑一般,高端报价下调。川渝地区在本地货源增加且局部需求缩减下,整体价格重心有所下移。
化肥:磷肥偏强挺价,钾肥弱势震荡运行
地缘政治持续波动,磷酸一铵成本面承压难以缓解。上周末美伊谈判未能取得进展,地缘政治局势再度趋紧,原料硫磺市场观望氛围浓厚,价格维持高位震荡。同时,近期市场传闻5月可能出现硫酸出口暂停,加之当前硫酸企业检修较为集中,供应紧张局面难以得到有效缓解,价格大幅波动空间受限。整体来看,磷酸一铵市场面临的高成本压力短期内仍难以缓解,行业持续亏损继续制约市场运行。湖北、四川、云南、贵州等地部分工厂因难以承受亏损压力,陆续实施装置减产或安排检修,导致市场供应呈现收缩态势;本周磷酸二铵价格维持平稳。从生产端来看,二铵工厂利润亏损程度难以在短时间内消化,尤其大厂保供任务仍在进行中,消化原料库存同时仍有补货需求;基于成本考虑,二铵工厂原料采购愈发谨慎,多采取压价、延期采购等操作,适当控制高额成本。此外,二铵中小型工厂装置运行灵活,产出量释放乏力。从需求端来看,进入春耕后半程,基层二铵用肥需求呈阶梯性递减趋势,东北市场供货充足但采购节奏放缓;据悉,部分货源逐渐向其它地区回流。综上,本周磷酸二铵市场价格区间整理,采销气氛预期减弱;
国内氯化钾市场需求转淡,价格波动受限。钾肥在市场价格维持相对高位下,新单成交并不积极,对价格进一步上涨的预期减弱,本周氯化钾市场心态以谨慎、观望为主,供应端挺价与需求端压价形成博弈,导致市场在价格调整上较为谨慎。
华鲁恒升:尿素本周维稳,醋酸在成本支撑下大幅提升
①国内尿素市场价格延续稳定,供应端,周内检修与复产交替,日产量在21.2-21.6万吨之间波动,整体供应平稳,局部发运偏紧。企业库存持续下滑,主产区工厂多处于低位甚至零库存,待发订单充足,支撑挺价及控量收单。需求端,工业支撑稳定,农业局部补货:高氮复合肥正值生产旺季,板材、电厂等刚需采购平稳;农业用肥分散,无明显集中放量。春耕收尾背景下,市场传闻出口配额将于5月份发放,叠加昨日印度招标价格远超预期,两者共同强化了后续出口的乐观前景,提振现货信心,带动今日期货上行。整体来看,本周市场在低库存、刚需支撑及出口预期升温共同作用下,价格主稳运行,后续关注复合肥采购节奏及出口政策动向;
②醋酸市场均价下跌,核心原因在于供需失衡与悲观情绪的共同作用。需求端表现尤为疲软,终端用户对高价货源的抵触情绪贯穿全周,买涨不买跌的心态导致询盘和采购活动持续清淡,整体出货乏力。为顺利出单,持货商不得不积极让利走货,实单商谈空间较大,进一步加剧了价格的下行压力。供应端,尽管初期有一定支撑,但随着价格下跌,市场库存逐步累积,形成了“需求不振-价格下跌-库存增加”的负反馈循环;
③辛醇市场先降后涨。上周尾下游增塑剂订单不佳,企业对原料采购谨慎,辛醇市场缺乏买盘支撑,工厂让利出售,市场商谈区间窄幅下滑,周初下游增塑剂订单好转,下游企业逢低采购,辛醇市场低价出货好转,叠加部分企业停车检修,且在出口订单加持下,辛醇市场现货偏紧,工厂挺价出售,场内交投区间窄幅上行;
④国内己二酸市场价格下跌。本周国内己二酸市场整体呈现持续下跌走势,价格重心明显下移。周初,受主要工厂下调现货报价影响,市场商谈重心开始松动,贸易商多随行就市,下游维持谨慎观望,新单成交清淡。周中市场虽短暂持稳,但观望情绪并未消散。随后,持货商出货心态逐渐增强,部分获利盘及高端品牌货源主动让利出货;加之主力工厂再度下调现货指导价格,进一步打击业者信心,场内报盘接连走低,市场弱势加剧。下游需求始终难有起色,仅维持刚需稳定采购,新单商谈气氛清淡,各方多持谨慎观望态度,等待后市进一步明朗。成本端方面,原料市场走势波动反复,虽然压力持续存在,但未能对价格形成有效支撑。
⑤国内己内酰胺市场价格企稳,成本方面,周内上游纯苯价格坚挺,中石化华东纯苯挂牌延续执行8700元/吨现汇自提,原料面支撑基本稳固,供应方面,己内酰胺市场检修与重启状况并存,现货供应总体偏紧,需求方面,下游切片厂家出货一般,对原料跟进情绪较为谨慎。综合来看,周内上游纯苯挂牌维持稳定,原料面支撑稳固,己内酰胺市场供应有限,下游需求表现乏力,场内商谈气氛一般,己内酰胺市场价格震荡企稳。
宝丰能源:焦炭市场偏强运行,聚烯烃产品跟随原油价格明显波动
本周焦炭市场走势强稳。上周尾(4月10日)部分重点焦企发函上调焦炭价格,幅度为50-55元/吨,计划于4月13日起执行,第二轮提涨开启,但下游钢厂暂无回应,目前仍处于焦钢博弈阶段。周内原料焦煤市场涨跌互现,多数煤种价格坚挺,焦化行业成本面暂无压力,多数焦企维持正常生产节奏,焦炭供应量变化不大,同时下游铁水产量持续回升,对焦炭刚需较强,部分原料库存水平偏低钢厂接货情绪良好,焦企出货多为顺畅,保持合理或偏低库存状态,场内供需结构相对平衡,部分市场参与者存看涨情绪,但下游钢厂盈利情况不佳,对焦炭价格提涨存抵触情绪,第二轮提涨落地时间推迟。
烯烃方面,聚烯烃产品大幅度波动。本周聚乙烯先涨后跌。本周聚乙烯市场变化较大。其中本周美伊暂时停火,国际油价震荡下跌。成本对聚乙烯市场影响较大,本周聚乙烯价格急涨急跌。其中原油价格波动强力影响期货心态,周一期货强势上行,带动聚乙烯价格上涨300余元,市场内贸易商积极推涨,然下游采购心态多谨慎。然周二停战消息传出,期货迅速宽幅走低,带动现货价格下行。现阶段聚乙烯市场内商家积极出货,叠加市场内供应有限,聚乙烯价格下方承托仍在,现阶段询盘及成交气氛均尚可,实单低价好成交;聚丙烯粒料市场价格先涨后跌。供应端来看,检修与重启并存,但整体检修量仍在高位。需求端方面,下游对高价产品抵制,下跌情绪面带领下将导致现货价格快速回落。加之原料价格快速波动加剧企业观望情绪,预计刚需采购仍是主流节奏。总体来看,本周聚丙烯粒料市场在宏观与基本面的共同影响下价格先涨后跌。
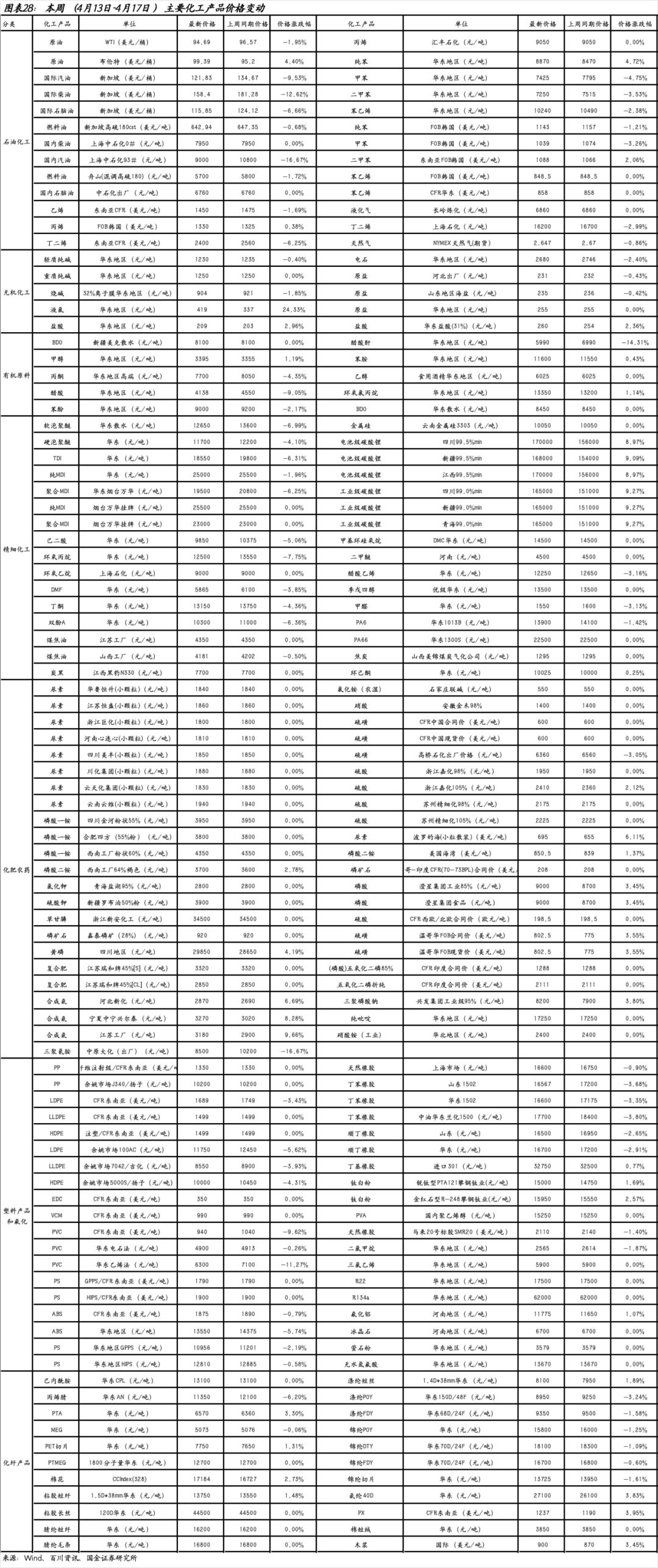
三、本周主要化工产品价格涨跌幅及价差变化
本周化工产品价格上涨前五位为液氯(24.33%)、合成氨(9.66%)、工业级碳酸锂(9.27%)、尿素(6.11%)、纯苯(4.72%);价格下跌前五位为国内汽油(-16.67%)、三聚氰胺(-16.67%)、醋酸酐(-14.31%)、国际柴油(-12.62%)、PVC(-11.27%)。
本周化工产品价差上涨前五位为ABS价差(159.07%)、合成氨价差(69.23%)、顺丁橡胶-丁二烯(32.1%)、乙烯-石脑油(20.98%)、PET价差(13.3%);价差下跌前五位为聚丙烯-丙烯(-146.9%)、DAP价差(-77.34%)、PTA-PX(-20.45%)、丁二烯-液化气(-10.62%)、TDI价差(-10.37%)。






四、本周行业重要信息汇总
1、投资超15亿元!赛鼎工程签约2.75万吨新材料项目
近日,中国化学赛鼎工程有限公司与环西汀新材料(宁波)有限公司在宁波隆重举行2.75 万吨 / 年环烯烃聚合物(COP)新材料项目(一期)合同签约仪式,标志着国内首套环烯烃聚合物新材料项目正式启动,为我国高端新材料产业发展注入强劲动力。
2、华陆科技又一总承包项目投料试车成功!
近日,由中国化学华陆工程科技有限责任公司(简称:华陆公司)以EPCM模式总承包的中化学西部新材料有限公司5万吨/年超高分子量聚乙烯树脂项目(一期工程)一次性投料试车成功。本次试车成功,标志着华陆公司已全面具备超高分子量聚乙烯装置的工程化转化与实施能力,实现了公司在该高端新材料领域工程总承包业务的重要突破。
3、机械竣工:150万吨/年乙烯项目裂解炉装置
4月15日,福建中沙古雷150万吨/年乙烯项目裂解炉装置机械竣工仪式在项目现场隆重举行。相关方代表共同签署机械竣工证书,标志着项目建设又一重要里程碑节点如期达成。
五、风险提示
1、国内外需求下滑:受到全球宏观经济环境变化的影响,国内外需求受到一定冲击,虽然整体经济逐步恢复,但由于全球产业链一体化布局,终端需求复苏仍需要一定时间;
2、原油价格剧烈波动:原油是多数化工产品的源头,原油价格的剧烈波动会对延伸产业链产生较大的联动影响;
3、国际政策变动影响产业布局:产业全球化发展持续推进,中国同其他国家的贸易相关政策会极大影响产业链布局和进出口变化,对相关产品的投资和生产、销售产生影响。


VIP复盘网